Tutorial 6
Tutorial 6: Matrix Algebra for Non-Homogeneous Linear Algebraic System
Solve the unknown for the following equation:
orthogonal matrix if , verify if is an orthogonal matrix or not, hence use it for the calculation.
SolutionIt is verified that is an orthogonal matrix, where
Choose the correct graph for each case, then comment on the condition of the coefficient matrix in terms of its determinant and the characteristic of the solution without solving it.
Case 1 Case 2 Case 3
SolutionCase 1
Graph (c).
There is one interception point. The coefficient matrix is well-conditioned where the determinant 0 (i.e. Huge slope difference).
There is unique solution for a well-conditioned system.
Case 2
Graph (a).
There are many interception points. The coefficient matrix is ill-conditioned where the determinant 0 (i.e. Close slope).
There are many solutions for an ill-conditioned system and the solutions are sensitive to the noise.
Case 3
Graph (b).
There is no interception points. The coefficient matrix is singular where the determinant = 0 (i.e. Exact same slope).
There is no solutions for the singular system which has no interception points.
Continue to solve Q2 by using Cramer's rule. Hence, verify the solution.
Case 1
(verified)
Case 2
(verified)
Case 3
( is not the solution)
No solution because , singular system
where coefficient matrix that represents the physical system, while and are the unknown and known parameters respectively. Compute the solution with the parameters measured with noise using Cramer's rule. Comment on the solution if it is accurately computed \& discuss why.
Case Actual parameters with no noise Measured parameters with noise 1 2
Case 1
Solution for noise case is approximate to no noise case
Since Case 1 is well-conditioned system, the noise is not amplified during the calculation and the solution is robust to noise. Hence it is close to the actual solution.
Case 2
Solution for noise case is far away from the no noise case
Since Case 2 is ill-conditioned system, the noise is amplified during the calculation and the solution is sensitive to noise. Hence, the solution deviates from the actual solution.
Perform GEwPP to solve the following linear algebraic equations. The calculation must involves the scaling, partial pivoting, forward elimination and the backward substitution procedures.
After scaling,
Partial pivoting step - switch the row so that the pivot element is the largest
Forward elimination:
The pivot element is now , no scaling is needed as the max element is 1 in the coefficient matrix. Perform Partial pivoting step.
Forward elimination:
The pivot element is now . Perform scaling shows that no partial pivoting is needed as the pivot element is the largest.
Forward elimination:
Backward substitution,
Obtain the following information for the following matrices.
i. Row echelon form (REF).
Solutionii. Reduced row echelon form (RREF).
Solutionis the RREF
iii. Number of linear independent vector.
Solution2 linear independent vector
iv. Rank & check if it is full rank or rank deficient matrix.
Matrix A Matrix B SolutionRank = 2. It is rank deficient matrix
An electronics company produces transistors, resistors and computer chips. Each transistors requires 4 units of copper, 1 unit of zinc, and 2 units of glass. Each resistor requires 3,3 , and 1 unit(s) of the three materials, respectively. Each computer chip requires 2,1 , and 3 unit(s) of the three materials, respectively. The amounts of materials available are 960 units of copper, 510 units of zinc, and 610 units of glass in week 1. The amounts of materials available are 960 units of copper, 510 units of zinc, and 610 units of glass in a week. By using GEwPP, calculate the number of transistors, resistors and computer chips produced per day in average by considering 5 working days per week.
| Components | Copper | Zinc | Glass |
|---|---|---|---|
| Transistors, | 4 | 1 | 2 |
| Resistors, | 3 | 3 | 1 |
| Computer Chips, | 2 | 1 | 3 |
Scaling
No pivoting is needed.
No scaling \& pivoting is needed.
Backward substitution
A civil engineer involved in construction requires 4800,5800 , and of sand, fine gravel and coarse gravel, respectively, for a building project. There are three pits from which these materials can be obtained. The composition of these pits is given below. How much cubic meters must be hauled from each pit in order to meet the engineer's needs? Use Cramer's Rule to solve it.
Sand % Fine Gravel % Coarse Gravel % Pit 1 52 30 18 Pit 2 20 50 30 Pit 3 25 20 55
Figure below shows three reactors linked by pipes. The mass balance equations for the reactors are shown below:
For steady state flow: Mass flow rate input Mass flow rate output
For example, for reactor 1 , where is flow rate in is concentration of the reactor

Continue to develop the linear algebraic equations for the reactors 2 and 3 . Then, solve the concentrations of the reactors by using the Naïve GE.
Rearrange:
Naïve GE without scaling and partial pivoting, just directly forward elimination and back substitution.
Forward elimination step:
Back substitution step:
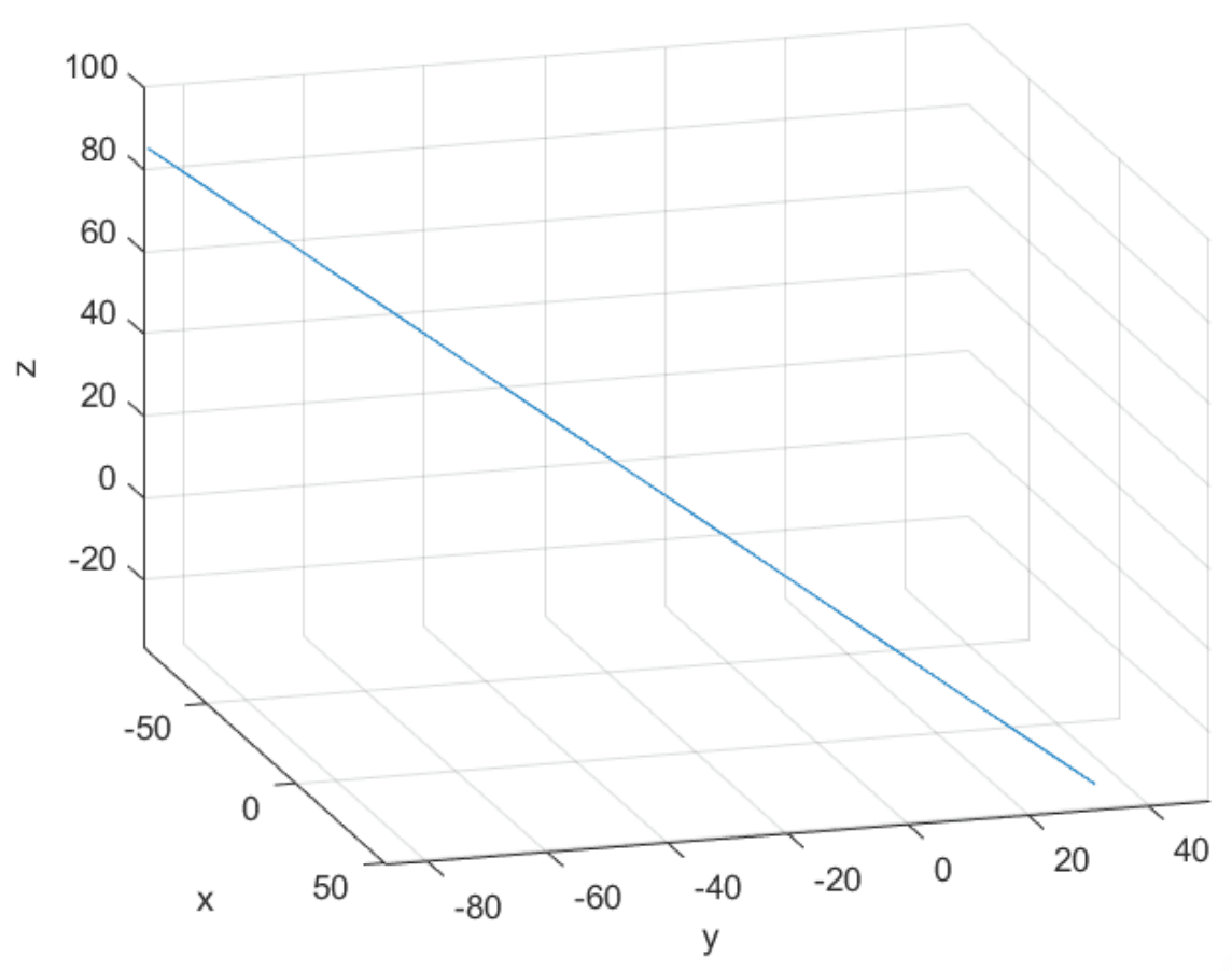
Given is a plane equation, where is the constant coefficient. 3 planes are given below, please suggest a suitable method based on the determinant analysis and continue to find the intersection point/ line of the planes, if it exists.

Scaling is important to standardize the matrix before determinant analysis especially for the ill-conditioned case. However, since we don't know the case in the first place, it is important to perform scaling before calculate the determinant
Determinant analysis:
Since determinant , it is singular system where it might have zero solution or infinite solutions.
Matrix inversion method or Cramer's method are not suitable to solve this problem. Thus GEwPP is suggested.
Continue with partial pivoting to reduce the effect of divide by zero issue:
Forward elimination
Pivot element at second row has largest magnitude, thus no partial pivoting is needed.
Forward elimination
Backward substitution
can be any solution, let
Based on the result, a line is intersecting all the planes. It can be plotted by using software.
>> t=-100:0.1:100;
>> x=-t;
>> y=-1+t;
>> z=t;
>> xlabel("x")
>> ylabel("y")
>> zlabel("z")
